1. 정의
- 그래프 G는 정점 V(Vertex)와 간선 E(Edge)로 구성되며 G = (V, E)로 표시된다
- V는 정점(Vertices)들의 집합이다.
- E는 간선(Edge)들의 집합이다.
- 정점과 간선은 모두 관련되는 데이터를 가질 수 있다.
- 트리는 사이클이 없는 그래프의 한 종류이다.
1) 그래프 종류

- G1과 G2는 무방향 그래프다.
- G2는 Tree다.
- G3은 방향성 그래프다.
2. 무방향 그래프(Undirected Graph)
- 두 정점을 연결하는 간선의 방향이 없는 그래프
- 정점 Vi와 정점 Vj를 연결하는 간선을 (Vi, Vj)로 표현
- (Vi, Vj)와 (Vj, Vi)는 같은 간선을 나타낸다.
- V(G1) = {A, B, C, D}
- E(G1) = {(A, B), (A, D), (B, C), (B, D), (C, D)}
- V(G2) = {A, B, C}
- E(G2) = {(A, B), (A, C), (B, C)}
3. 방향 그래프(Directed Graph)
- 방향 그래프는 방향 그래프(Directed Graph) 또는 다이그래프(Digraph)로 부른다.
- 간선이 방향을 가지고 있는 그래프
- 정점 Vi에서 정점 Vj를 연결하는 간선 즉, Vi → Vj를 <Vi, Vj>로 표현
- Vi를 꼬리(tail), Vj를 머리(head)라고 한다.
- <Vi, Vj>와 <Vj, Vi>는 서로 다른 간선
- V(G3) = {A, B, C, D}
- E(G3) = {<A, B>, <A, D>, <B, C>, <B, D>, <C, D>}
- V(G4) = {A, B, C}
- E(G4) = {<A, B>, <A, C>, <B, A>, <B, C>}
4. 완전 그래프(Complete Graph)
- 각 정점에서 다른 모든 정점을 연결하여 가능한 초대의 간선 수를 가진 그래프
- 정점이 n개인 무방향 그래프에서 최대의 간선 수 : n(n - 1) / 2개
- 정점이 n개인 방향 그래프의 최대 간선 수 : n(n - 1)개
1) 완전 그래프의 예
- G5는 정점의 개수가 4개인 무방향 그래프이므로 완전 그래프가 되려면 4(4 - 1) / 2 = 6개의 간선 연결
- G6은 정점의 개수가 4개인 방향 그래프이므로 완전 그래프가 되려면 4(4 - 1) = 12개의 간선 연결

방향, 무방향 완전 그래프가 되기 위한 조건식을 가지고 1-1 그래프 종류에서 나올 수 있는 그래프는 위 그래프밖에 없다.
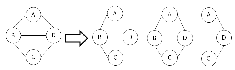
5. 부분 그래프(Subgraph)
- 원래 그래프에서 일부의 정점이나 간선을 제외하여 만든 그래프
- 그래프 G와 부분 그래프 G'의 관계
- V(G') ⊆ V(G), E(G') ⊆E(G)
1) G1에 대한 부분 그래프 예

6. 그래프 용어
1) 인접 정점(adjacent vertex)
- 간선에 의해 연결된 정점
- 정점 0과 정점 1
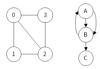
2) 차수(Degree)
- 그 정점에 연결된 다른 정점의 개수
- 정점 0의 차수는 3
- Indegree : Indegree(A) = 1
- Outdegree : Outdegree(A) = 2

3) 경로(Path)
- 정점의 나열로 표현
- 단순 경로 : 0, 1, 2, 3
4) 사이클(Cycle)
- 첫 시작으로 다시 돌아오는 경우
- 0, 1, 2, 0
5) 경로의 길이
- 경로를 구성하는 데 사용된 간선의 수
6) 완전 그래프
- 모든 정점이 연결된 그래프
7. 그래프의 종류
1) 간선의 종류에 따른 분류
- 간선의 종류에 따라 그래프는 무방향 그래프(Undirected Graph)와 방향 그래프(Directed Graph)로 구분
(1) 무방향 간선
- 간선을 통해서 양방향으로 갈 수 있음을 나타내며 (A, B)와 같이 정점의 쌍으로 표현
- (A, B) = (B, A)
(2) 방향 간선
- 방향성이 존재하는 간선으로 도로의 일방 통로와 마찬가지로 한쪽으로만 갈 수 있음을 나타냄
- <A, B>로 표시
- <A, B> ≠ <B, A>
2) 가중치 그래프(Weighted Graph), 네트워크(Network)
- 간선에 비용이나 가중치가 할당된 그래프
- A에서 B로 가는 간선에 값, 가중치를 할당한다.
'Language > C' 카테고리의 다른 글
| [자료구조] 그래프 구현 (0) | 2020.06.28 |
|---|---|
| [자료구조] 힙(Heap) (0) | 2020.06.27 |
| [자료구조] 이진 탐색 트리 (Binary Search Tree) (0) | 2020.06.26 |
| [자료구조] 이진트리의 순회 (0) | 2020.06.24 |
| [자료구조] 이진 트리 구현 (0) | 2020.06.24 |
댓글